• Предмет: Математика
  • Автор: Stassj38
  • Вопрос задан 8 лет назад

ПОДРОБНЫЙ ОТВЕТ!!!
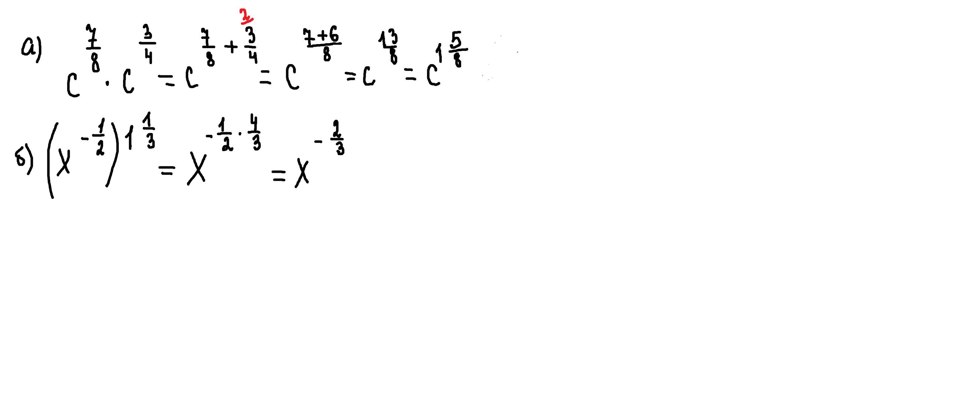
Упростить выражения:
(на картинке)​

Приложения:

Ответы

Ответ дал: parus77
1

Ответ:

Пошаговое объяснение:

решение внизу

Приложения:
Вас заинтересует