• Предмет: Алгебра
  • Автор: Аноним
  • Вопрос задан 8 лет назад

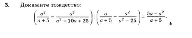
Докажите тождество

снизу решение помогите пожалуйста!

Приложения:

Ответы

Ответ дал: Zombynella
1

Ответ:

В решении.

Объяснение:

Доказать тождество - значит, доказать, что левая часть выражения равна правой, для этого левую часть нужно преобразовать.

На фото.

Приложения:

Аноним: Извините, что отнимаю ваше время, но вы не могли бы мне помочь?https://znanija.com/task/46263137?utm_source=android&utm_medium=share&utm_campaign=question
Вас заинтересует
9 лет назад