Ответы
Ответ дал:
0
Ответ:
5 все скорочується тут квадратна
Ответ дал:
0
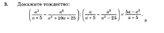
Вот, готово пожалуйста <3
Приложения:

Вас заинтересует
2 года назад
3 года назад
8 лет назад
8 лет назад
9 лет назад