• Предмет: Алгебра
  • Автор: angelkosmos02
  • Вопрос задан 7 лет назад

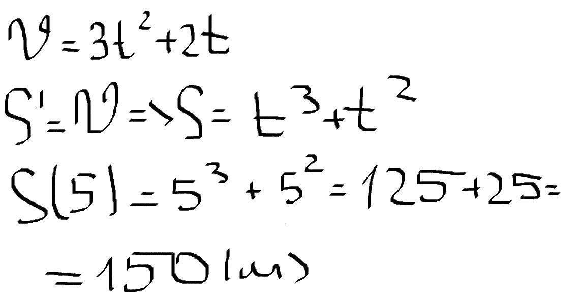
Найдите путь пройденный точкой, за промежуток времени от t = 2c до t=5c, скорость точки меняется по закону U=(3t^+2t) м/с


daniilzhulanov: там квадрат или куб?
angelkosmos02: Квадрат

Ответы

Ответ дал: daniilzhulanov
1

Приветики!)

решение на фото)

успехов <3

Приложения:
Вас заинтересует