• Предмет: Алгебра
  • Автор: 1234qwr32d
  • Вопрос задан 8 лет назад

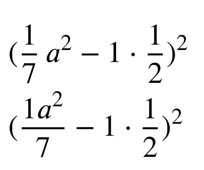
преобразуйте в многочлен (1/7a^2-1/2)^2

Ответы

Ответ дал: Future562
0

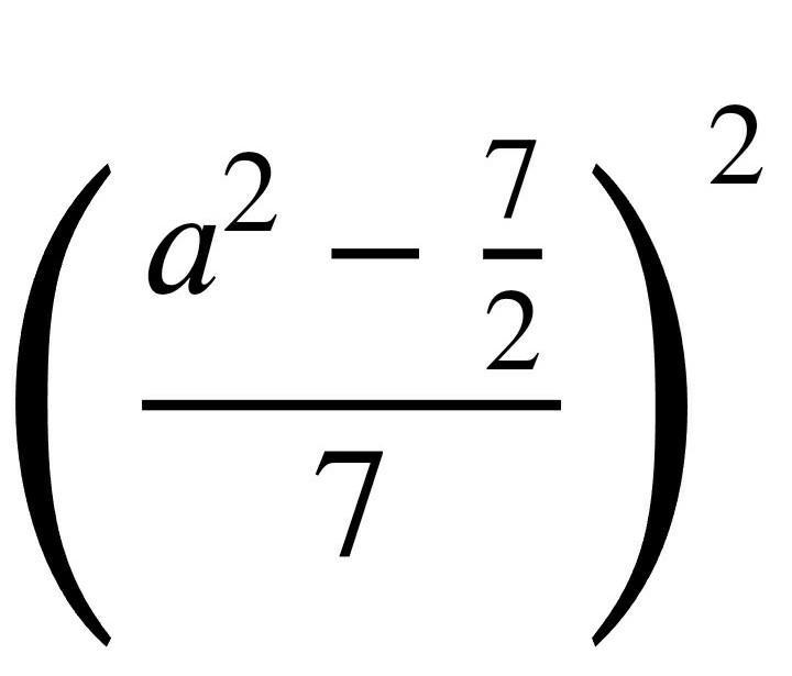
Ответ:

(a² - 7/2)²

7

Объяснение:

Если правильно, лучшим

Ответ дал: sumovicana753
0

не знаю ли правильно но пусть будет

Приложения:
Вас заинтересует