• Предмет: Физика
  • Автор: arikresetilo
  • Вопрос задан 8 лет назад

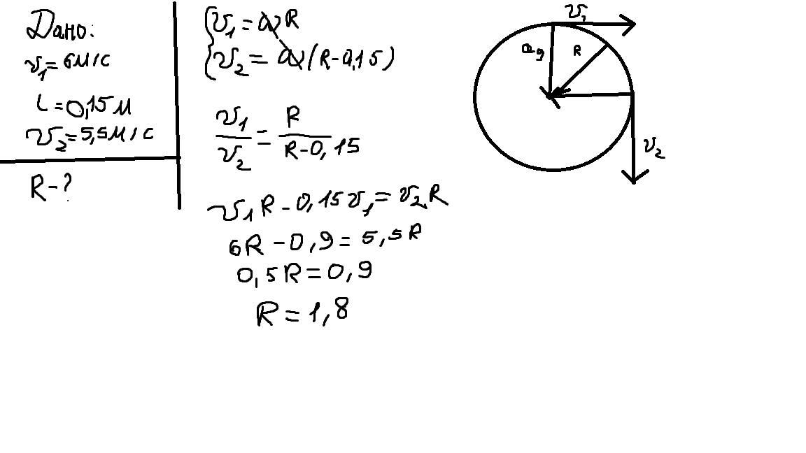
Срочно допоможіть будьласка. Визначте радіус диска, який обертажться, якщо лінійна швидкість точок, що лежать на його краю, — 6 м/с точок, що лежать на 15 см ближче до його центра, — 5,5 м/с.

Ответы

Ответ дал: TarasYashchuk
2

Ответ:

sqrt

Объяснение:

Приложения:
Вас заинтересует