• Предмет: Алгебра
  • Автор: tatyana0980
  • Вопрос задан 8 лет назад

СРОЧНО, 100 БАЛОВ!
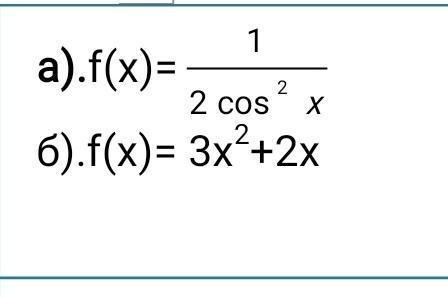
Найдите общий вид всех первообразных функции f(х)?

Критерии:
находит первообразную степенной функции;
находит первообразную тригонометрической функции;

Приложения:

Ответы

Ответ дал: as11111
0

Ответ:

Объяснение:

а) \int\limits{\frac{1}{2cos^{2}(x)}}\,dx=\frac{1}{2}*tg(x)+C

б) \int\limits{(3x^{2}+2x)}\,dx=x^{3}+x^{2}+C


tatyana0980: По критериям точно верно?
Вас заинтересует