• Предмет: Информатика
  • Автор: alinka9averina
  • Вопрос задан 8 лет назад

ПОМОГИТЕ ПОЖАЛУЙСТА!! СРОЧНООО! МНОГО БАЛЛОВ
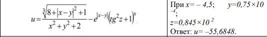
Записать формулу для вычисления выражения. Проверить правильность
вычислений при заданных численных значениях исходных данных.
!!! Для уменьшения количества возможных ошибок при записи сложных формул
целесообразнее использовать промежуточные вычисления.

Приложения:

Ответы

Ответ дал: huston81
1

Ответ:

решение на скриншоте

Объяснение:

Приложения:
Вас заинтересует