• Предмет: Алгебра
  • Автор: frozertv9
  • Вопрос задан 8 лет назад

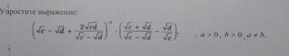
СРОЧНО! (√c-√d+ 2√cd/√c - √d)^1 * (√c+√d/ √c -√d - √d/√c) ​

Приложения:

Ответы

Ответ дал: sauranbaibeksultan
1

Ответ:

Ответ равен

 \frac{1}{ \sqrt{c} }

решение на фото

Приложения:
Вас заинтересует