Ответы
Ответ дал:
2
Ответ:
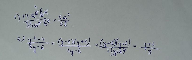
вот,надеюсь помогла,с решением и тд.
Приложения:

lifeveronia222:
спасибо тебе большое!!!
Вас заинтересует
2 года назад
3 года назад
3 года назад
8 лет назад
9 лет назад