• Предмет: Математика
  • Автор: mishaplay09
  • Вопрос задан 8 лет назад

sin x=–0,1 плиз помогите ​

Ответы

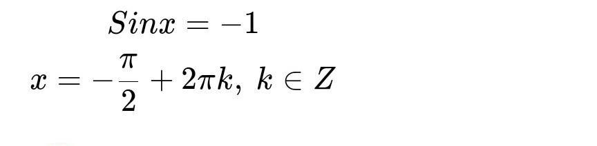
Ответ дал: dissbalanser2006
0

Пошаговое объяснение:

вот так вот все правильно

Приложения:
Вас заинтересует