• Предмет: Алгебра
  • Автор: kurmashevaerkezhan64
  • Вопрос задан 7 лет назад

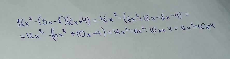
12x²-(3x-1)(2x+4) ОСЫ ОРНЕКТИ ЫКШАМДАУ КЕРЕКК (СРОЧНООО КЕРЕККК) БЖБ​

Приложения:

Ответы

Ответ дал: modanavsegda27
1

вот с решением,надеюсь помогла)

Приложения:

kurmashevaerkezhan64: рахметтт))))
modanavsegda27: өтінемін
Вас заинтересует