• Предмет: Алгебра
  • Автор: aslan7391
  • Вопрос задан 8 лет назад

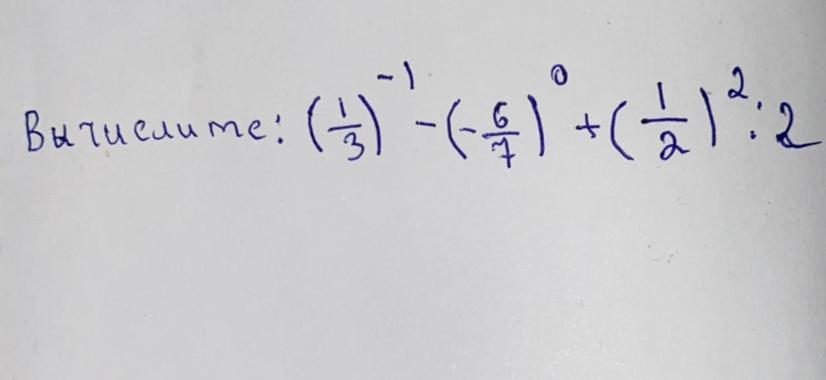
Помогите пожалуйста

Приложения:

Ответы

Ответ дал: cychvj
0

Ответ:

ответ во вложениии.......

Приложения:
Вас заинтересует