• Предмет: Математика
  • Автор: sofipro2009
  • Вопрос задан 8 лет назад

СРОЧНО!!ЗАРАНЕЕ СПАСИБО!!​

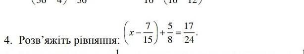
Приложения:

Ответы

Ответ дал: mubinabonu2707
0

Ответ на фото..............

Приложения:
Вас заинтересует