• Предмет: Физика
  • Автор: caroline91
  • Вопрос задан 8 лет назад

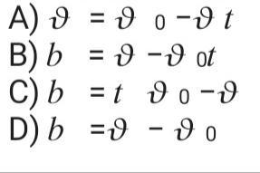
Определите уравнение ускорения.

Приложения:

Ответы

Ответ дал: lataoleg0
1

Ответ:

А рівнння швидкості для рівноприскореного руху

Приложения:

caroline91: А какая у других?
Вас заинтересует