• Предмет: Математика
  • Автор: danil200315c
  • Вопрос задан 8 лет назад

Решить неопределённые интегралы

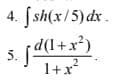
Приложения:

Ответы

Ответ дал: Matematiktm
1

Ответ:

Пошаговое объяснение:

4. \int\limits {sh(x/5)} \, dx =\int\limits {\frac{e^{x/5} -e^{-x/5} }{2} } \, dx=\frac{1}{2} \int\limits {e^{x/5}dx -\frac{1}{2} \int\limits {e^{-x/5}dx;

\frac{1}{2} \int\limits {e^{x/5}dx -\frac{1}{2} \int\limits {e^{-x/5}dx=\frac{5}{2} \int\limits {e^{x/5}d(\frac{x}{5})+\frac{5}{2} \int\limits {e^{-x/5}d(\frac{-x}{5})=\frac{5}{2}(e^{x/5}+e^{-x/5})+C;

\frac{5}{2}(e^{x/5}+e^{-x/5})+C=5(\frac{e^{x/5}+e^{-x/5}}{2})+C=5ch(\frac{x}{5})+C;

5. \int\limits {} \, \frac{d(1+x^{2})}{1+x^{2}}  =ln(1+x^{2})+C

Вас заинтересует