ДАЮ 50 БАЛЛОВ, СРОЧНО!
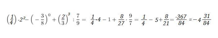
(1/4)-2²-(-3/8)⁰+(2/3)³:7/9
tatsach:
Сделайте фото задания
Ответы
Ответ дал:
0
Ответ ........................................................................................................
Приложения:

Ответ дал:
1
Объяснение:
Вас заинтересует
2 года назад
2 года назад
3 года назад
3 года назад
8 лет назад