Ответы
Ответ дал:
1
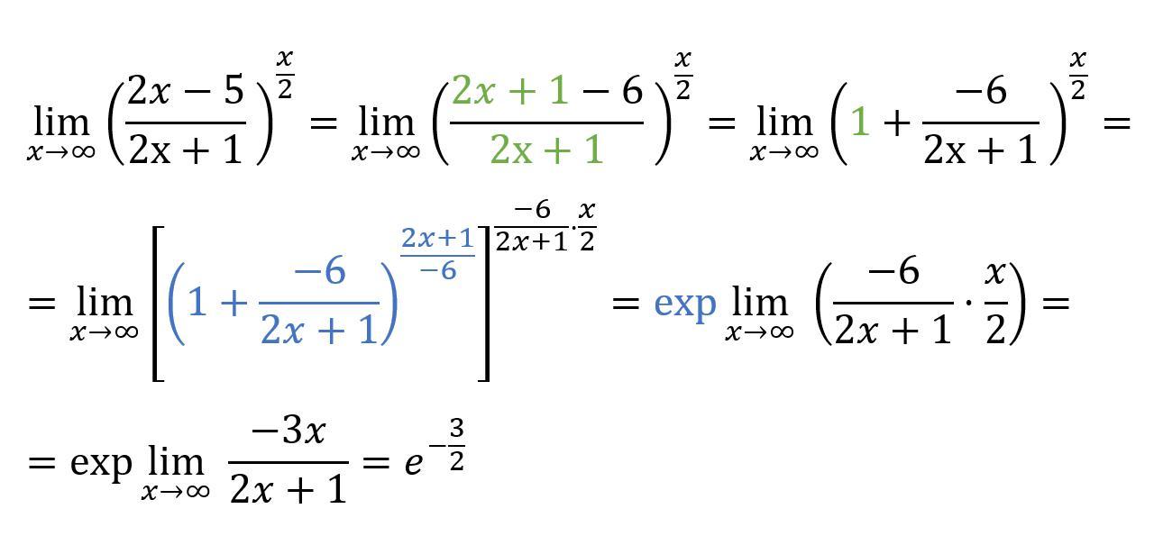
Решение во вложении.
Приложения:

dareovan:
огромное спасибо
Вас заинтересует
2 года назад
3 года назад
3 года назад
8 лет назад
8 лет назад
9 лет назад
9 лет назад