Ответы
Ответ дал:
1
Ответ:
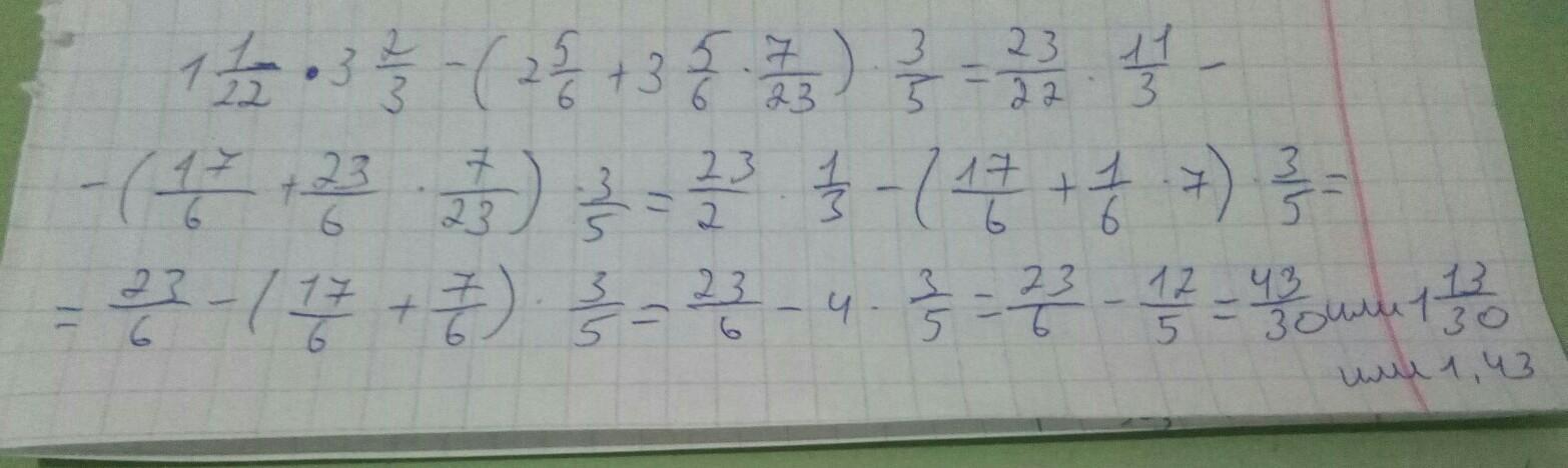
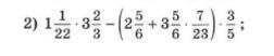
43/30 или 1 целая 13/30 или 1,43
Объяснение:
на фото
Приложения:

Ответ дал:
1
Ответ:
1 13/30
Объяснение:
1 1/22*3 2/3-(2 5/6+3 5/6*7/23)*3/5 = 1 13/30
1 действие:
3 5/6*7/23 = 23/6*7/23 = 7/6 = 1 1/6
2 действие:
2 5/6+1 1/6 = 4
3 действие:
1 1/22*3 2/3 = 23/22*11/3 = 23/6 = 3 5/6
4 действие:
4*3/5 = 4*0,6 = 2,4
5 действие:
3 5/6-2,4 = 3 50/60-2 24/60 = 1 26/60 = 43/30 = 1 13/30
Вас заинтересует
2 года назад
2 года назад
3 года назад
9 лет назад