• Предмет: Математика
  • Автор: Аноним
  • Вопрос задан 7 лет назад

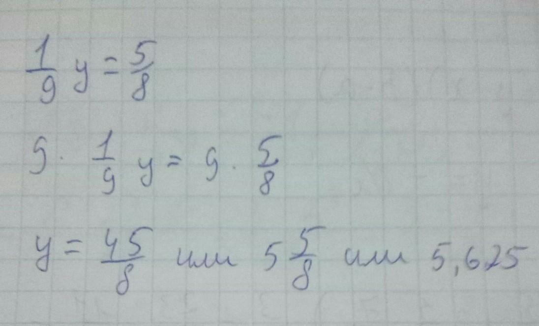
решите уравнение пожалуйста желательно на фото​

Приложения:

Ответы

Ответ дал: Natashka1337lol
1

Відповідь:

y=\frac{45}{8}

Покрокове пояснення:

\frac{1}{9}y=\frac{5}{8}  \\y=\frac{5}{8}:\frac{1}{9}\\y=\frac{45}{8}

Ответ дал: erasyldarken
0

Ответ:

ответ на фото

Пошаговое объяснение:

на фото ...

Приложения:
Вас заинтересует