• Предмет: Математика
  • Автор: masya7693
  • Вопрос задан 7 лет назад

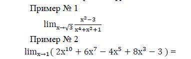
Добрый вечер!Нужно вычислить пределы функций

Приложения:

Ответы

Ответ дал: Like359021
0

Ответ:

Я могу объяснить тут везде ответ 23-56=13 13 ответ потому что тут уровнения

Вас заинтересует