• Предмет: Математика
  • Автор: min555
  • Вопрос задан 8 лет назад

ПЖ помогите !!!!!!!!!!!!!!!!!!!!!!

Приложения:

Ответы

Ответ дал: Аноним
0

Ответ:

Пошаговое объяснение:

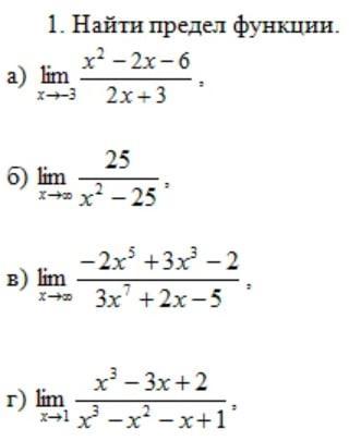
а) lim_(x->-3) (x²-2x-6)/(2x+3)=((-3)²-2·(-3)-6)/(2·(-3)+3)=(9+6-6)/(-6+3)=9/(-3)=-3

б) lim_(x->∞) 25/(x²-25)=25/∞=0

в) lim_(x->∞) (-2x⁵+3x³-2)/(3x⁷+2x-5)=(x⁷(-2/x² +3/x⁴ -2/x⁷))/(x⁷(3 +2/x⁶ -5/x⁷)); t=1/x

lim_(t->0) (-2t⁷+3t⁴-2t⁷)/(3+2t⁶-5t⁷)=(-2·0⁷+3·0⁴-2·0⁷)/(3+2·0⁶-5·0⁷)=0/3=0

lim_(x->∞) (-2x⁵+3x³-2)/(3x⁷+2x-5)=0

г) lim_(x->1) (x³-3x+2)/(x³-x²-x+1)

1) x³-3x+2=x³-2x-x+2=x(x²-1)-2(x-1)=x(x-1)(x+1)-2(x-1)=(x-1)(x²+x-2)=(x-1)(x²+2x-x-2)=(x-1)(x(x-1)+2(x-1))=(x-1)(x-1)(x+2)

2) x³-x²-x+1=x²(x-1)-(x-1)=(x-1)(x²-1)=(x-1)(x-1)(x+1)

lim_(x->1) (x³-3x+2)/(x³-x²-x+1)=((x-1)(x-1)(x+2))/((x-1)(x-1)(x+1))=(x+2)/(x+1)=(1+2)/(1+1)=3/2=1,5

Вас заинтересует