• Предмет: Алгебра
  • Автор: urazalievaajlin
  • Вопрос задан 8 лет назад

ПОЖАЛУЙСТА СРОЧНО
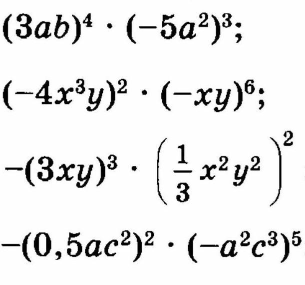
нужно решить эти 4 примера ​

Приложения:

Ответы

Ответ дал: asethankyzyalua
1

Ответ:

(3ab) ⁴×(-5a²) ³=(3ab) ⁴×(-(5a²) ³)=-81a⁴b⁴×125a⁶=125a⁶=-10125a¹⁰b⁴

(-4x³y) ²×(-xy) ⁶=(4x³y) ²×(xy)⁶=16x⁶y²x⁶y⁶=16x¹²y⁸

-(3xy) ³×(1/3x²y²) ²=-27x³y³×1/9x⁴x⁴=-x⁷y⁷

-(0,5ac²) ²×(-a²c³) ⁵=1/4a¹² c¹⁹

Объяснение:

Можно ❤ это правильно 1000000%

Вас заинтересует