• Предмет: Информатика
  • Автор: antiotarantino
  • Вопрос задан 8 лет назад

«Линейные программы»
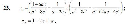
Напишите программу для расчета по двум формулам через Python

Приложения:

Ответы

Ответ дал: restIess
3

a, c = float(input("a=")), float(input("c="))

z1 = ((1+6*a*c)/(a**3-8*c**3) - 1/(a-2*c)) / (1 / (a**3-8*c**3) - 1/(a**2+2*a*c+4*c**2))

z2 = 1 - 2 * c + a

print(f"z1 = {z1}, z2 = {z2}")

Вас заинтересует
9 лет назад