• Предмет: Алгебра
  • Автор: karina567812bilozor
  • Вопрос задан 8 лет назад

помогите пожалуйста, очень нужно.​

Приложения:

Ответы

Ответ дал: Broshenuy
0

Ответ:

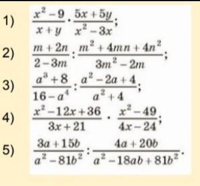
1)x2-9/1 * 10/x(x-3) = 30

2)m+2n/2-3m*m(3m-2)/(m+2n)2  = 1/1 * -m/m+2n = -m/m+2n

3)(a+2)(a+2)2/(4-a2)(4+a2) * (a+2)(a-2)/(a-2)2 = a+2/(4-a2) * -1/-1 = a+2/4-a2

4)(x-6)2/3(x+7) * (x-7)(x+7)/4(x-6) = x-6/3 * x-7 = (x-6)(x-7)/12

5)3(a+5b)/(a-9b)(a+9b) * (a-9b)2/4(a+5b) = 3/a+9b * a-9b/4 = 3(a-9b)/4(a+9b)

Объяснение:


karina567812bilozor: спасибо большое
Вас заинтересует