• Предмет: Алгебра
  • Автор: bunchakdavid
  • Вопрос задан 8 лет назад

під час сушіння яблука втрачають 9/10 своєї маси .скільки кілограм сушених яблук вийде з 270 кг

Ответы

Ответ дал: GreatKings
14

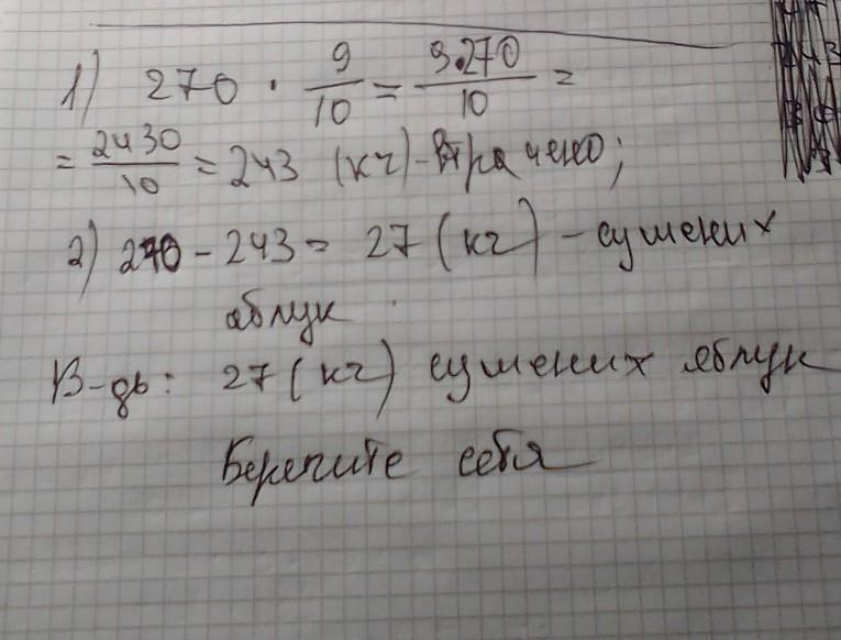
Ответ:

27 (кг) - сушених яблук.

Подробное решение на фото...

______________

Берегите себя!

Приложения:
Ответ дал: katriana
2

Ответ:

Объяснение:І спосіб.

1) 270 • 9/10 = (270•9)/10 = 243(кг) - втрачено;

2) 270 - 243= 27 (кг) - сушених яблук.

ІІ спосіб.

1) 1 - 9/10 = 1/10 (ч) - частина, яку становлять сушені яблука від свіжих;

2) 270 • 1/10 = 27 (кг) - сушених яблук.

Відповідь. 27 кг.

Вас заинтересует