• Предмет: Алгебра
  • Автор: kckcfkfjfkf
  • Вопрос задан 7 лет назад

ДАМ 15 баллов!!! Помогите, какое сможете!!!

Приложения:

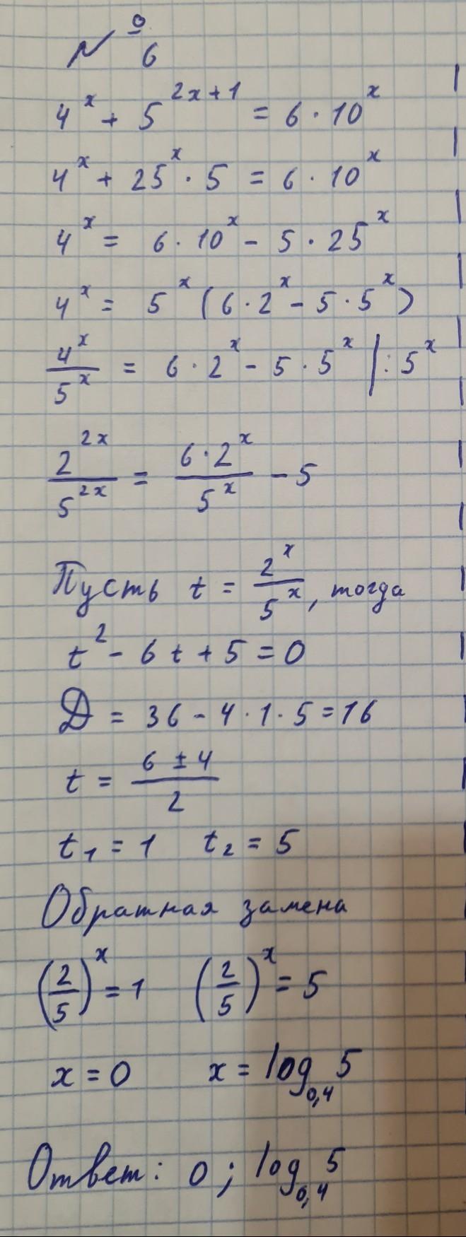
Ответы

Ответ дал: EliotDAstre
1

Ответ:

Удалось решить оба, на удивление)))))

Приложения:
Вас заинтересует