• Предмет: Физика
  • Автор: Аноним
  • Вопрос задан 10 лет назад

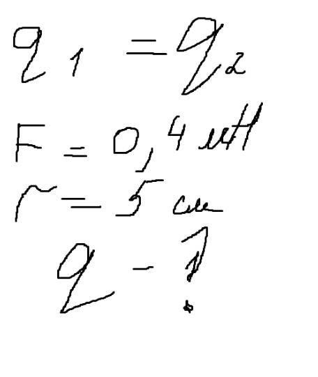
Помогите с физикой пожалуйста задание во вложениях

Приложения:

Ответы

Ответ дал: Artem112
0
F= frac{kq_1q_2}{r^2} =frac{kq^2}{r^2} 
\
q=  sqrt{frac{Fr^2}{k} }
\
q=  sqrt{frac{0.4cdot10^{-3}cdot(5cdot10^{-2})^2}{9cdot10^9} }= sqrt{frac{0.4cdot10^{-3}cdot(5cdot10^{-2})^2}{9cdot10^9} }=1.05cdot10^{-8}(Kl)
Ответ: 1,05*10^-8 Кл
Вас заинтересует