• Предмет: Математика
  • Автор: Аноним
  • Вопрос задан 8 лет назад

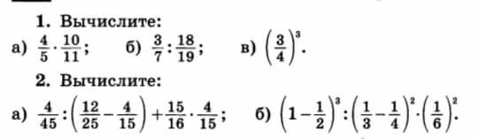
помогите пожалуйста ​

Приложения:

Ответы

Ответ дал: kirill2289026
0
a)40/55 b)54/133 ответ должен быть правильным если не правильно то я не знаю как решать удачи и побольше тебе 5!!!!
Вас заинтересует