• Предмет: Математика
  • Автор: densnack29
  • Вопрос задан 7 лет назад

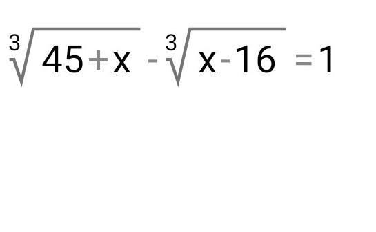
Дам 100 балов срочно нужно подробное решение тема: Ірраціональні рівняння​

Приложения:

Ответы

Ответ дал: tamarabernukho
5

Ответ:

-109; 80

Пошаговое объяснение:

.....................

Приложения:

densnack29: Огромное спасибо вам!!! От души ❤️.
Аноним: Извините, что отнимаю ваше время, но вы не могли бы мне помочь?
Аноним: Привет, не могли бы мне помочь с заданием, пожалуйста?!!!!!
Ответ дал: LetsChess
1

Ответ:

x= - 109, x = 80

Пошаговое объяснение:

см.рисунок

Приложения:

densnack29: Можете мне помочь?
Аноним: Здравствуйте вы не могли бы вы мне помочь с геометрией пожалуйста
Аноним: Здравствуйте вы не могли бы вы мне помочь с алгеброй пожалуйста умоляю
Вас заинтересует