• Предмет: Алгебра
  • Автор: viktoriasedova03
  • Вопрос задан 8 лет назад

Даю 50 балов каждому, помогите, всего 1 задание

Приложения:

Ответы

Ответ дал: DK954
2

Решение:

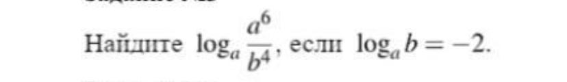
log_{a} \frac{a^{6}}{b^{4}} , если log_{a}b = -2

log_{a} \frac{a^{6}}{b^{4}} = log_{a} a^{6} - log_{a} b^{4} = 6-4log_{a}b = 6-4*(-2) = 6-(-8) = 6+8 = 14

Ответ: 14

Решено от : DK954

Вас заинтересует