• Предмет: Математика
  • Автор: Blave
  • Вопрос задан 8 лет назад

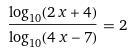
Решите уравнение (С ОДЗ)

Приложения:

Ответы

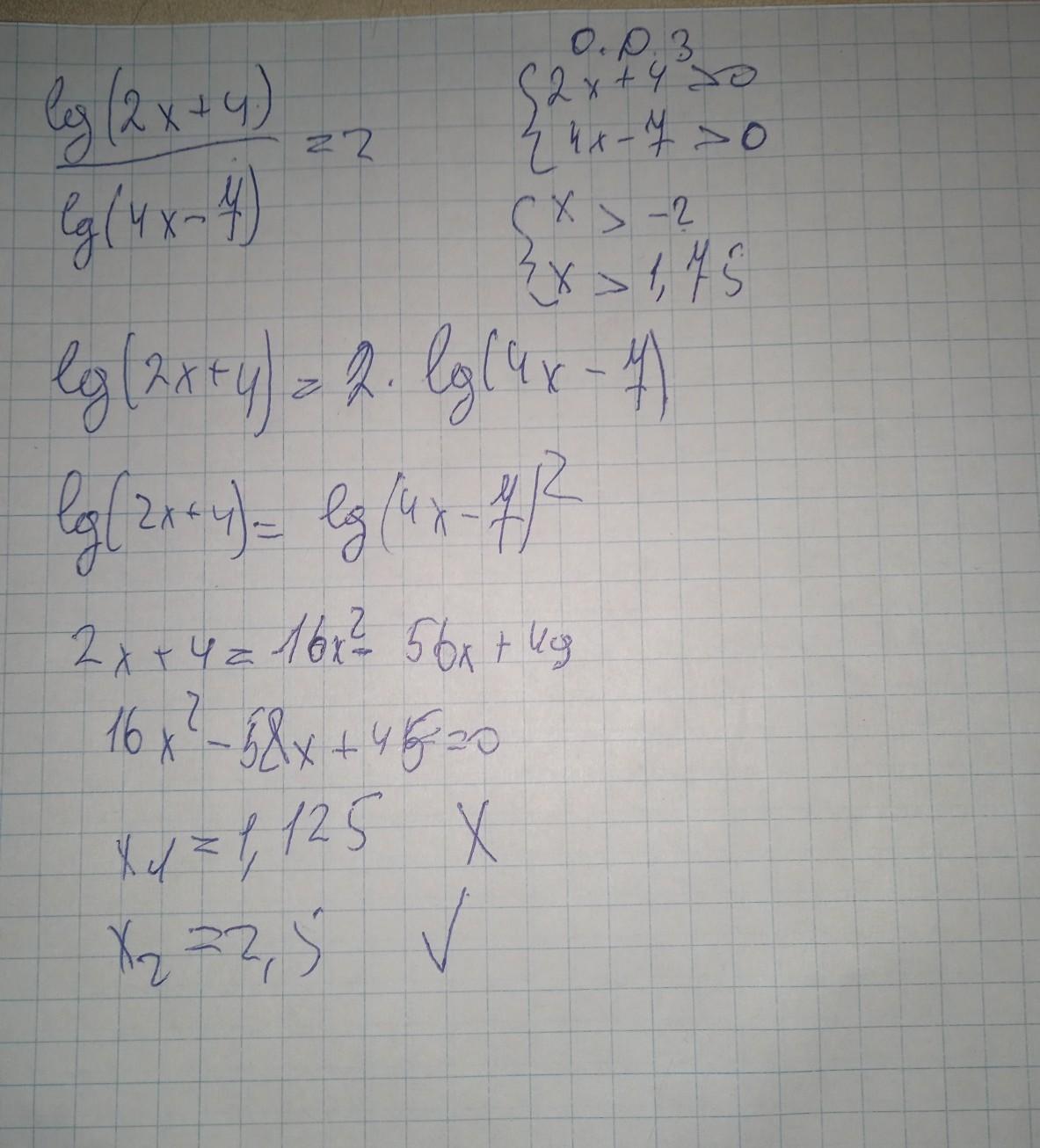
Ответ дал: agaev7547
2

////////////////////////////

Приложения:

Blave: Спасибо!
Вас заинтересует