• Предмет: Алгебра
  • Автор: Ксения1803
  • Вопрос задан 10 лет назад

Помогите пожалуйста решить, очень срочно. С решением.Заранее спасибо)

Приложения:

Ответы

Ответ дал: prostomama1
0
"""""""""""""""""""""""""""""""""""""""""""""
Приложения:
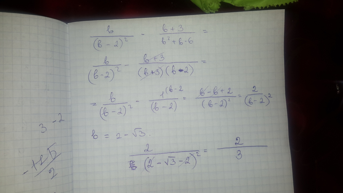
Ответ дал: Rechnung
0
 frac{b}{b^2-4b+4} - frac{b+3}{b^2+b-6} = frac{b}{(b-2)^2} - frac{b+3}{(b-2)(b+3)} = frac{b(b+3)-(b+3)(b-2)}{(b-2)^2(b+3)}= \\=frac{b^2+3b-(b^2+b-6)}{(b-2)^2(b+3)} = frac{b^2+3b-b^2-b+6}{(b-2)^2(b+3)} = frac{2b+6}{(b-2)^2(b-3)} = frac{2(b+3)}{(b-2)^2(b+3)}=frac{2}{(b-2)^2}

b=2- sqrt{3}\\  frac{2}{(2- sqrt{3}-2)^2}= frac{2}{(- sqrt{3})^2 } = frac{2}{3}


Приложения:
Вас заинтересует