Ответы
Ответ дал:
3
Ответ:
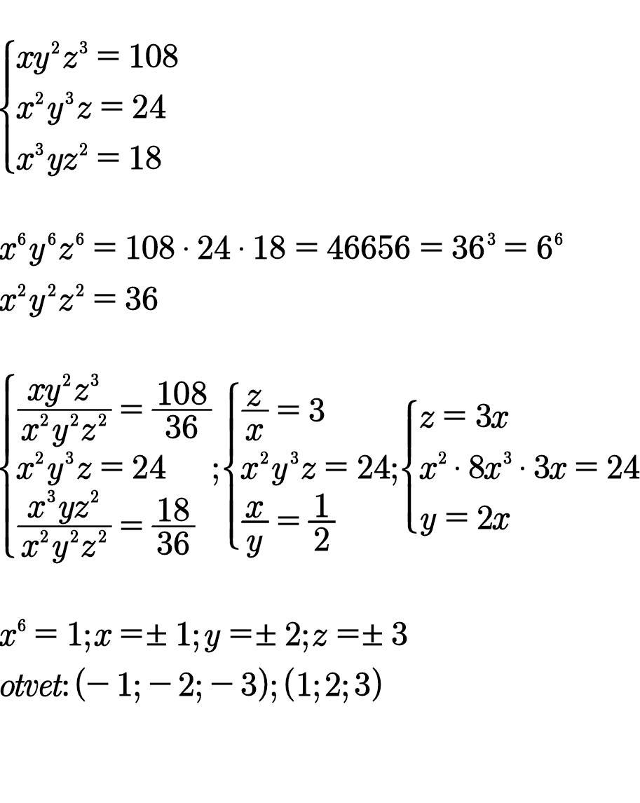
(-1;-2;-3);(1;2;3)
Объяснение:
.........................
Приложения:

Аноним:
Извините, что отнимаю ваше время, но вы не могли бы мне помочь?
Вас заинтересует
2 года назад
2 года назад
3 года назад
3 года назад
8 лет назад
8 лет назад