• Предмет: Алгебра
  • Автор: Naastaaaa
  • Вопрос задан 8 лет назад

Пожалуйста пожалуйста пожалуйста срочно помогите !! Геометрия 7 класс
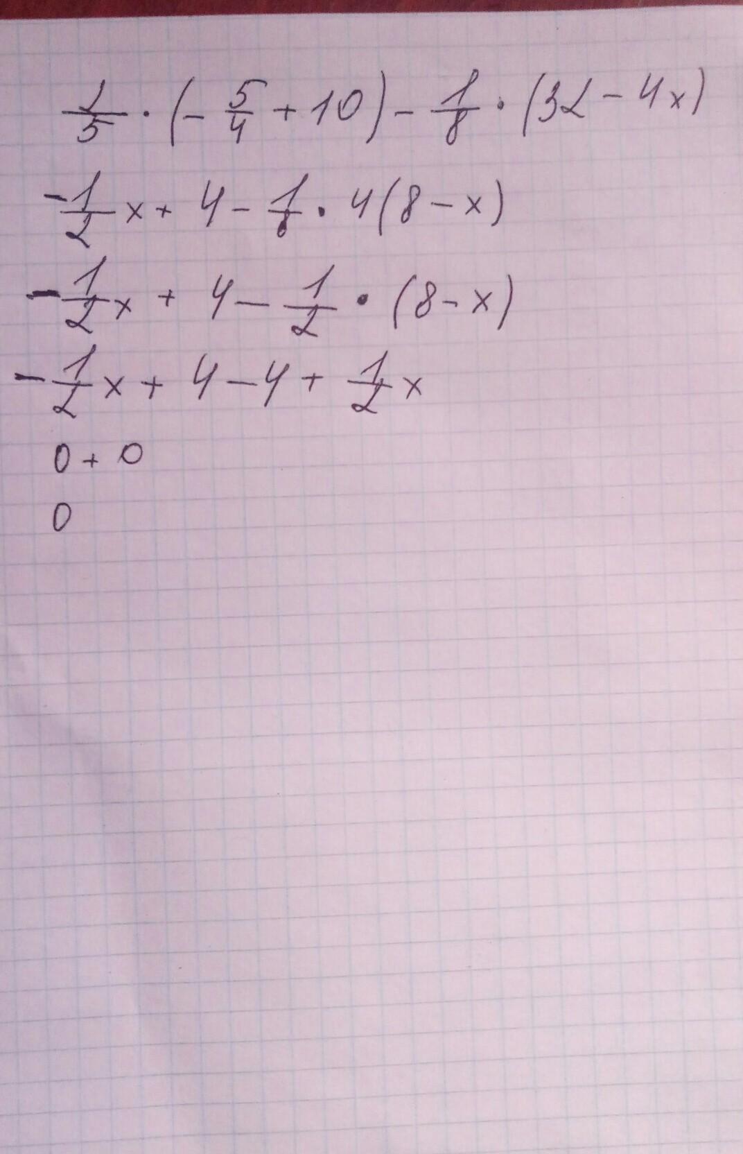
Докажите тождество ( сам пример и как оформлять - на фото )

Приложения:

Ответы

Ответ дал: uevgenia324
1

Ответ:

Ответ на фото

жажадсшсшвлвлцлчшлшсшс

Приложения:

Naastaaaa: Спасибо огромное
Naastaaaa: А каким способом оно доказано ? Есть 4 способа , какое из них ?
Вас заинтересует