• Предмет: Алгебра
  • Автор: zhanbosilas1
  • Вопрос задан 7 лет назад

Помогите пж очень надо

Приложения:

Ответы

Ответ дал: Аноним
4

Объяснение:

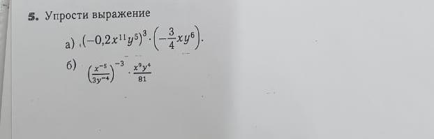
а)

( - 0.2x {}^{11} y {}^{5} ) {}^{3}  \times ( -  \frac{3}{4 } xy {}^{6} ) = \left(-0.2\right)^{3}\left(x^{11}\right)^{3}\left(y^{5}\right)^{3}\left(-\frac{3}{4}\right)xy^{6} =\left(-0.2\right)^{3}x^{33}\left(y^{5}\right)^{3}\left(-\frac{3}{4}\right)xy^{6} = \left(-0.2\right)^{3}x^{33}y^{15}\left(-\frac{3}{4}\right)xy^{6} =-0.008x^{33}y^{15}\left(-\frac{3}{4}\right)xy^{6}=\frac{3}{500}x^{33}y^{15}xy^{6} =\frac{3}{500}x^{34}y^{15}y^{6} =\frac{3}{500}x^{34}y^{21}

б)

( \frac{x {}^{ - 5} }{3y {}^{ - 4} } ) {}^{ - 3}   \times  \frac{x {}^{9}y {}^{4}  }{81}  =\frac{\left(x^{-5}\right)^{-3}}{\left(3y^{-4}\right)^{-3}}\times \left(\frac{x^{9}y^{4}}{81}\right) =\frac{\left(x^{-5}\right)^{-3}x^{9}y^{4}}{\left(3y^{-4}\right)^{-3}\times 81} =\frac{x^{15}x^{9}y^{4}}{\left(3y^{-4}\right)^{-3}\times 81} =\frac{x^{24}y^{4}}{\left(3y^{-4}\right)^{-3}\times 81} =\frac{x^{24}y^{4}}{3^{-3}\left(y^{-4}\right)^{-3}\times 81} =\frac{x^{24}y^{4}}{3^{-3}y^{12}\times 81} =\frac{x^{24}y^{4}}{\frac{1}{27}y^{12}\times 81} =\frac{x^{24}y^{4}}{3y^{12}} =\frac{x^{24}}{3y^{8}}

Приложения:

vsvsesvit00: ответ идинаковый ,там упростить надо
Аноним: хочу сказать одно тут все правильно б
Аноним: .*
vsvsesvit00: ну впринцыпи правильно ,но есть и другой способ решения ,намного легче
Аноним: если надо то могу решать кратким решения.
vsvsesvit00: Я просто всегда решаю такие уровнения другим способом ,и сначало подумал что не правильно ,но щас перепроверил и да вполне правильно
vsvsesvit00: у таких уровнений есть не один способ решения
Аноним: это не уравнения.
vsvsesvit00: выражения *
Аноним: закрепила другой способ.
Вас заинтересует