• Предмет: Алгебра
  • Автор: qaz123xsw123
  • Вопрос задан 10 лет назад

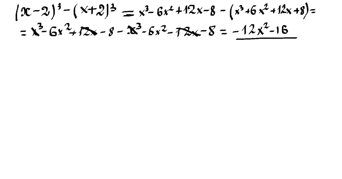
(х-2)³-(х+2)³= 
Упростите выражение :  
 

Ответы

Ответ дал: Аноним
0
решение во вложении.)))))
Приложения:
Вас заинтересует