• Предмет: Математика
  • Автор: Jooopis
  • Вопрос задан 7 лет назад

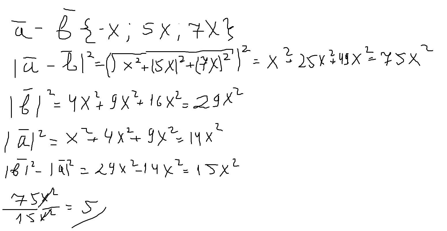
помогите, пожалуйста

Приложения:

Simba2017: вам только ответ?
Jooopis: да
Simba2017: ответ 5
Jooopis: спасибо большое!

Ответы

Ответ дал: Clever46
1

Ответ:

5

Пошаговое объяснение:

Приложения:
Вас заинтересует