• Предмет: Геометрия
  • Автор: mscocos123
  • Вопрос задан 8 лет назад

Нужно ОЧЕНЬ срочно, помогите( Координати одного з кінців відрізка Е (-4;5), F (-1;2) - середина відрізка ED. Знайдіть координати точки D

Приложения:

Ответы

Ответ дал: Elena3982
5

Объяснение:

,Тримай свою відповідь.

Приложения:
Ответ дал: Аноним
1

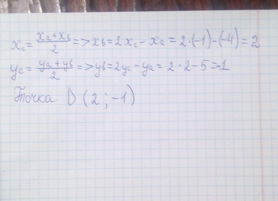
Ответ:D(2;-1)  

Объяснение: чтобы найти координаты второго конца, надо от удвоенных координат середины отнять координаты первого конца,  

х=2*(-1)-(-4)=-2+4=2  

у=2*2-5=-1  

D(2;-1)

проверка сложим координаты концов отрезка и сумму поделим на два, получим  координаты его середины

(-4+2)/2=-1

(5-1)/2=2

Решение выполнено верно.

Вас заинтересует