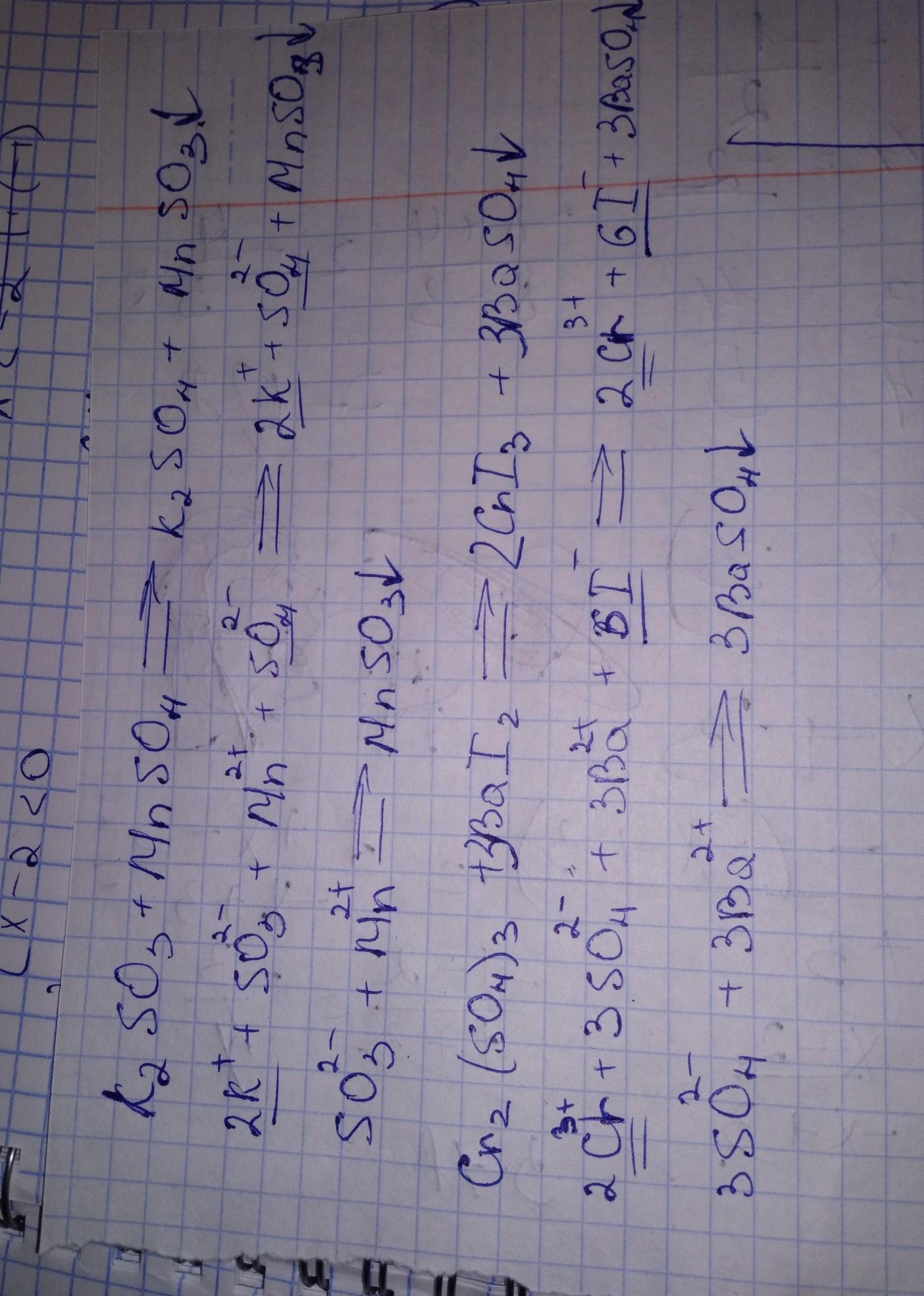
напишите уравнение следующих реакций в молекулярном полном ионном и сокращённом ионном виде K2SO3+MnSO4 , Cr2(SO4)3+Bal2
Ответы
Ответ дал:
1
надеюсь, что всё понятно))
Приложения:

ruzymbaevadilnaz7:
о повезло повезло спасибо всё понятно
Вас заинтересует
2 года назад
3 года назад
3 года назад
8 лет назад
8 лет назад
9 лет назад
9 лет назад