• Предмет: Математика
  • Автор: toxicmichael73
  • Вопрос задан 8 лет назад

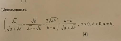
помогите дам 20 балов​

Приложения:

Ответы

Ответ дал: ekaterina150936
1
Ответ на фото ….. на фото ответ
Приложения:
Вас заинтересует