• Предмет: Алгебра
  • Автор: MistieMint
  • Вопрос задан 7 лет назад

Помогите пожалуйста нужно как можно быстрее

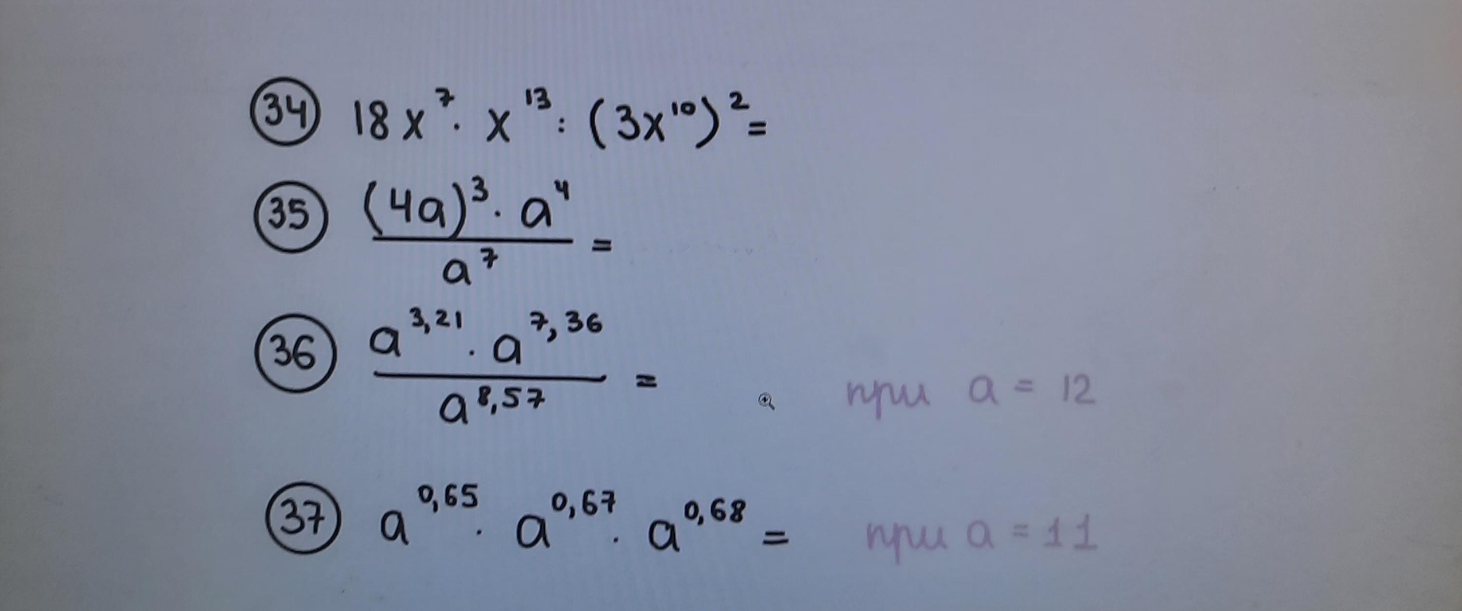
Приложения:

Ответы

Ответ дал: Figop
1

Ответ:34=2

35=64

36=144

37=121

Объяснение:

На фотт

Приложения:
Вас заинтересует