• Предмет: Алгебра
  • Автор: nova2b29
  • Вопрос задан 7 лет назад

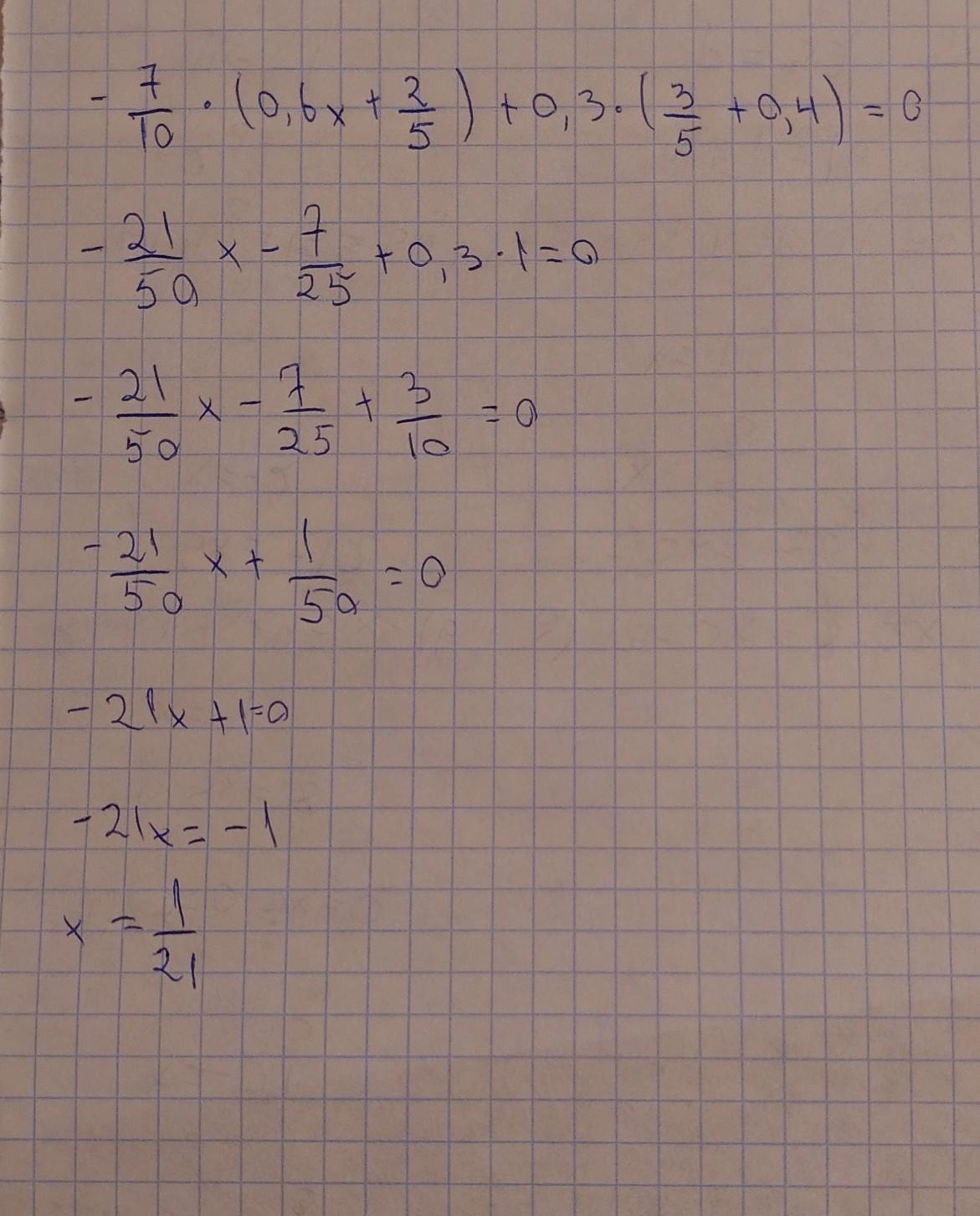
-7/10*(0.6х+2/5)+0,3*(3/5+0,4)=0

Ответы

Ответ дал: milenaenokyan2005
1

Ответ:

решение посмотрите в фото

Приложения:
Ответ дал: prettypushkova
1

7/10 = 0,7;   2/5 = 4/10 = 0,4;   3/5 = 6/10 = 0,6

-0,7 · (0,6х + 0,4) + 0,3 · (0,6 + 0,4) = 0

-0,42х - 0,28 + 0,3 · 1 = 0

-0,42х = 0,28 - 0,3

-0,42х = -0,02

х = -0,02 : (-0,42) = 2 : 42 = 2/42         (-) : (-) = (+)

х = 1/21 - сократили на 2

Вас заинтересует