• Предмет: Математика
  • Автор: krutoykrot2002
  • Вопрос задан 8 лет назад

Решение задач на тему неопределенные интегралы

Приложения:

Ответы

Ответ дал: Indentuum
0

Это не неопределённые интегралы, а несобственные

1

\int\limits_{13}^{+\infty} \frac{dx}{x \ln x} = \int\limits_{13}^{+\infty} \frac{d \ln x}{\ln x} =  \int\limits_{13}^{+\infty} d \ln \ln x = \ln \ln x \Big|^{+\infty}_{13} \\\lim\limits_{t \to \infty} \ln \ln t - \ln \ln 13 = \infty

Интеграл расходится.

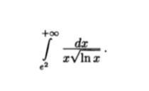
2

\int\limits_{e^2}^{+\infty} \frac{dx}{x \sqrt{\ln{x}}} = \int\limits_{e^2}^{+\infty} \frac{d \ln{x}}{ \sqrt{\ln{x}}} = \int\limits_{e^2}^{+\infty} 2\sqrt{\ln{x}}\ dx = 2 \sqrt{\ln{x}} \Big|^{+\infty}_{e^2}\\\lim\limits_{t \to \infty} 2\sqrt{\ln{t}} - 2\sqrt{\ln{e^2}} = \infty

Интеграл расходится

Вас заинтересует