• Предмет: Алгебра
  • Автор: keksik708
  • Вопрос задан 8 лет назад

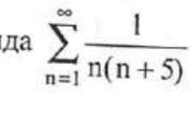
Найдите пожалуйста сумму ряда

Приложения:

Аноним: 137/300

Ответы

Ответ дал: Аноним
0

\displaystyle \sum^\infty_{n=1}\dfrac{1}{n(n+5)}=\dfrac{1}{5}\sum^\infty_{n=1}\dfrac{n+5-n}{n(n+5)}=\dfrac{1}{5}\left(\sum^\infty_{n=1}\dfrac{1}{n}-\sum^\infty_{n=1}\dfrac{1}{n+5}\right)=

\displaystyle \dfrac{1}{5}\left(1+\dfrac{1}{2}+\dfrac{1}{3}+\dfrac{1}{4}+\dfrac{1}{5}+\sum^\infty_{n=6}\dfrac{1}{n}-\sum^\infty_{n=1}\dfrac{1}{n+5}\right)=\dfrac{1}{5}\left(1+\dfrac{1}{2}+\dfrac{1}{3}+\dfrac{1}{4}+\dfrac{1}{5}\right)=\dfrac{137}{300}

Вас заинтересует