Ответы
Ответ дал:
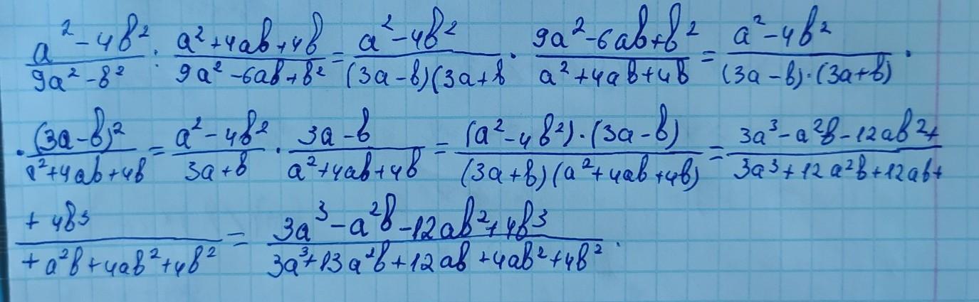
2
Ответ:................
Приложения:

ivankrizhanovskiy1:
спасибо бро ты лучший
Вас заинтересует
2 года назад
2 года назад
3 года назад
8 лет назад
8 лет назад
9 лет назад