• Предмет: Алгебра
  • Автор: qjw
  • Вопрос задан 8 лет назад

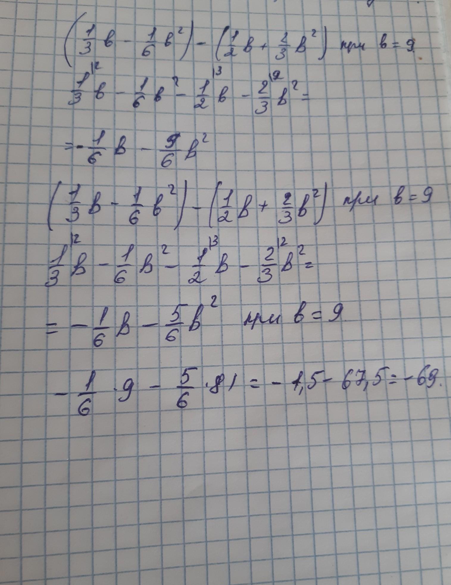
Упростите выражение(1/3b-1/6bˆ2)-(1/2b+2/3bˆ2): .

Найдите его значение, если b=9 .

Ответы

Ответ дал: bahytgulkabylainova
1

Объяснение:

см фото,,,,,,,,,,,,,,,,,,

Приложения:

qjw: Спасибо! Все правильно
Вас заинтересует