• Предмет: Математика
  • Автор: ekaterinakazanceva44
  • Вопрос задан 8 лет назад

Помогите пожалуйста!
решите СПОСОБОМ СЛОЖЕНИЯ.​

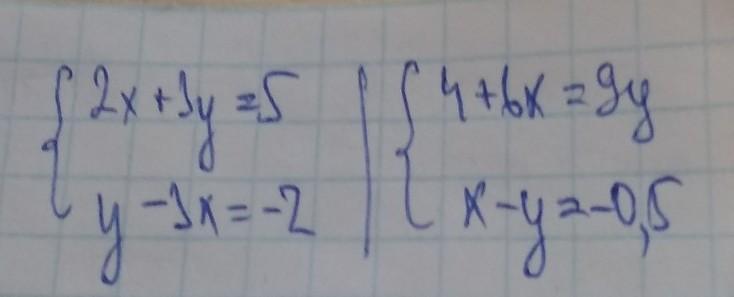
Приложения:

Ответы

Ответ дал: NataMon
1

Ответ:

1. х = 1; у = 1

2.  х = -1/6; у = 1/3

Пошаговое объяснение:

1. {2х + 3у = 5

  {у  - 3х = -2 → умножим все члены уравнения на -3 и сложим левые и правые части уравнений:

{2х + 3у = 5

{-3у + 9х = 6 → сложим левые и правые части уравнений:

2х + 9х + 3у + (-3у) = 5 + 6

11х + 3у - 3у = 11

11х = 11

х = 11/11

х = 1 → подставим значение х в первое уравнение и вычислим значение у:

2*1 + 3у = 5

3у = 5 - 2

у = 3/3

у = 1

2. {4 + 6х = 9у

   {х - у = -0,5  

{6х - 9у = -4

{х - у = -0,5 → умножим все члены уравнения на -9 и сложим левые и правые части уравнений:

{6х - 9у = -4

{-9х + 9у = 4,5

-3х = 0,5

3х = -0,5

х = -0,5/3

х = -1/6 → подставим значение х в первое уравнение и вычислим значение у:

6*(-1/6) - 9у = -4

-1 - 9у = -4

-9у = -4 + 1

-9у = -3

у = -3/(-9)

у = 1/3

Вас заинтересует