• Предмет: Математика
  • Автор: slyfox4646
  • Вопрос задан 7 лет назад

Решите функцию срочно

Приложения:

Ответы

Ответ дал: SharuZaAlt
0

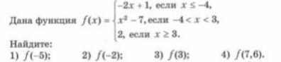
1) -5 ≤ -4, значит,

f(-5) = -2•(-5) + 1 = 11

2) -4 ≤ -2 ≤ 3, значит,

f(-2) = (-2)² - 7 = -3

3) 3 ≥ 3, значит,

f(3) = 2

4) 7,6 ≥ 3, значит,

f(7,6) = 2

Вас заинтересует