• Предмет: Алгебра
  • Автор: Zarina020996
  • Вопрос задан 11 лет назад

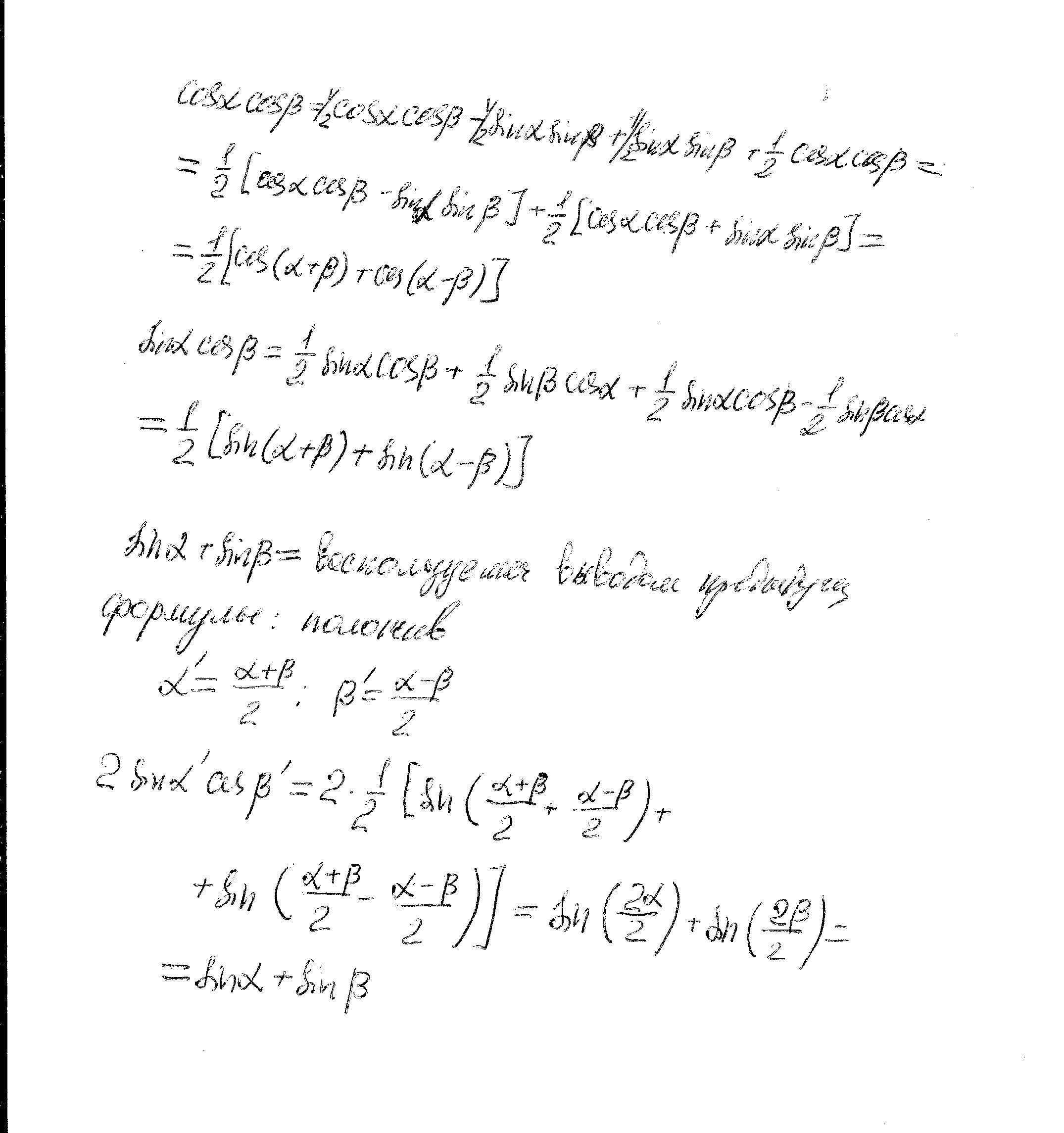
ДОКАЗАТЬ:cos(a)*cos(b)=1/2[cos(a+b)+cos(a-b)]
ДОКАЗАТЬ:sin(a)*cos(a)=1/2[sin(a+b)+sin(a-b)]
ДОКАЗАТЬ:sin(a)+sin(b)=2sin(a+b)/2*cos(a-b)/2

Ответы

Ответ дал: Опыт
0

Добавил решение......................

Приложения:
Вас заинтересует